Ладно утро во Македонија на повеќе места со појава на слаб мраз
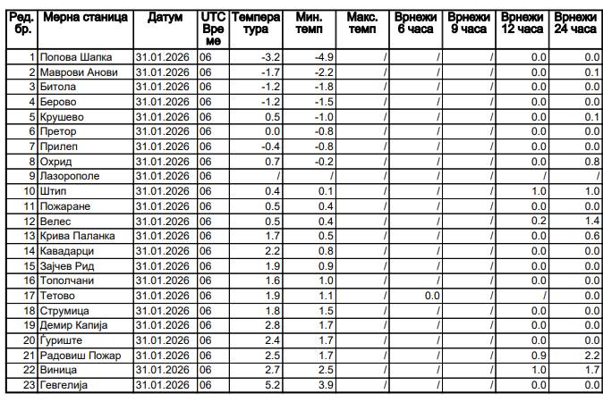
Денешното утро во Македонија ни донесе ладно утро со температури кои на повеќе места се спуштија за неколку степени под нулата и имаше појава на слаб мрз. Исто така ова утро имаше појава и на умерена облачност а беше претежно тивко и без некој изразен ветер.

На табелата објавена од страна на УХМР може да видиме дека најладно утрово до 7 часот беше на Попова Шапка со измерени -5 степени а највисока минимална температура од 4 степени во исто време беше измерена во Гевгелија.
Може ќе ве интересира
Занимливости
Денешното утро во Македонија ни донесе ладно утро со температури кои на повеќе места се спуштија за неколку степени под нулата и имаше појава на слаб мрз. Исто така ова утро имаше појава и на умерена облачност а беше претежно тивко и без некој изразен ветер. На табелата објавена од страна на УХМР може да видиме дека најладно утрово [...]


by